https://leetcode.com/problems/two-sum

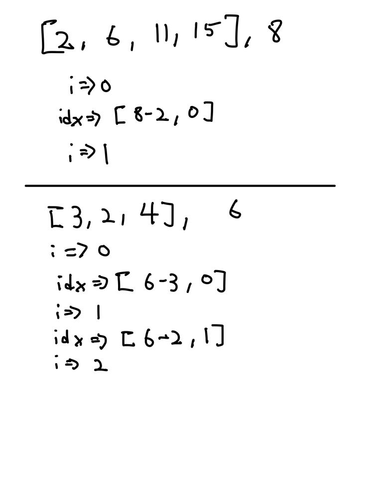
최종 결과에서
for문으로 nums를 순회하면서 현재 인덱스 값을
뺀값을 목표값으로 둔다.
예를 들어, 최종이 8이라면 현재 nums[0] => 2의 목표값은 6이다.
해쉬맵에는 [6, 0] 으로 넣어둔다.
for를 순회하면서 nums[1] = 6이고 해쉬맵 키에 6이 있다면
6키의 인덱스와 현재 인덱스인 1를 배열로 리턴하면된다.
public int[] solve(int[] nums, int target) {
Map<Integer, Integer> idx = new HashMap<>();
for (int i = 0; i < nums.length; i++) {
if (idx.containsKey(nums[i])){
int mapValue = idx.get(nums[i]);
return new int[]{mapValue, i};
} else {
idx.put(target - nums[i], i);
}
}
return null;
}
'알고리즘 > Array' 카테고리의 다른 글
| trapping rain water (0) | 2023.10.21 |
|---|---|
| Longest Palindrome Substring (0) | 2023.10.01 |
| 그룹 애너그램 (0) | 2023.09.29 |
| 가장 흔한 단어 (0) | 2023.09.29 |
| 로그 파일 정렬하기 (0) | 2023.09.28 |